จาก ใหม่ สำโรง
จันทร์ที่ , 1/1/2550
เวลา : 14:23
อ่าน = 435
192.55.18.36
|
ขอกล่าวสวัสดีปีใหม่กับอาจารย์และบรรดาพี่ๆทั้งหลายในบอร์ดปาเจโร่ทุกๆท่านด้วยครับ
สืบเนื่องจากกระทู้ "เทอร์โบ เรื่องไม่ยากเกินกว่าจะรู้"
http://www.weekendhobby.com/offroad/pajero/Questionold.asp?ID=2628
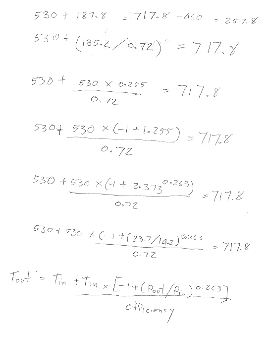
ผมได้อ่านและเกิดความสงสัย ความเห็นที่ 21 ของอาจารย์ว่าตัวเลข 717.8 degree Rankineมันมาได้ยังไงครับ อาจารย์ช่วยอธิบายหน่อยได้มั๊ยครับว่าเอาอะไรบวกอะไร คูณอะไรก่อน หลัง เพราะผมคิดแล้วมันได้ไม่เท่ากับอาจารย์เลยเกิดความสงสัย ขอบคุณมากครับ

|